Environment/Climate Change
Effectiveness of heat alert warning systems to reduce psychiatric emergency services utilization during heat waves in Boston, MA: a difference-in-differences analysis Flannery Black-Ingersoll* Flannery Black-Ingersoll Mary D. Willis Stephanie T. Grady Kaylin Vrkljan Alison Duncan Kate Burrows Rachel Oblath Amruta Nori-Sarma
Background: Climate change is increasing the frequency, intensity, and duration of extreme heat events, and emerging research shows that extreme heat events increase the risk of adverse mental health outcomes. To date, research on physical health has found limited effectiveness of heat alert systems (i.e., public health interventions to warn and educate populations ahead of high heat events) and the effectiveness in vulnerable low-income populations has been challenging to assess. Additionally, potential protective effects of heat alerts for mental health outcomes have not been examined.
Methods: Using a quasi-experimental study design, we implemented a difference-in-differences analysis to examine associations between extreme heat and psychiatric emergency services (PES) use before and following the 2016 implementation of Boston’s city-wide heat warning system. We calculated daily total PES encounters for 2012-2019 using the Boston Emergency Services Team (BEST) electronic health records, a program run by a safety net hospital designed to serve vulnerable uninsured and publicly insured persons. Using the National Weather Service temperature data, we flagged each day for extreme heat (i.e., maximum temperature). We estimated risk ratios and 95% CIs using Poisson regression, adjusting for temporal variation.
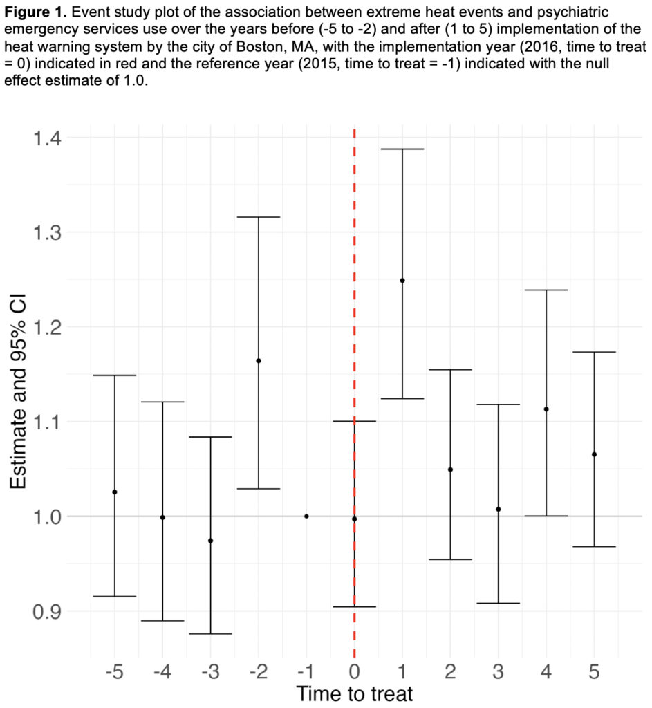
Results: We identified 154,913 encounters within the BEST program (19.4% unhoused, 62.6% nonwhite, 84.7% publicly insured). Contrary to our hypothesis, extreme heat events occurring after the implementation of the heat warning system were associated with increased PES use among BEST patients compared with events occurring prior to the heat warning system implementation (RR=1.04, 95% CI: 0.99, 1.10).
Discussion: Our preliminary findings show that the implementation of a heat warning system does not appear to yield the expected reductions in the direction or magnitude of association between extreme heat and PES use in this highly vulnerable study population.

